2021 Senior Management Compensation Survey
Attached are the results of the 2021 RC Capital Senior Management Compensation Survey. Thirty-one private-growth companies from the healthcare and IT sectors participated in this year’s survey. Companies provided data on compensation components – cash and stock – for senior management and independent directors, as well as data with respect to D&O insurance and audit expenses. Data was collected from RCC and TripleTree portfolio companies for 2021 compensation and company head count and TTM revenue are noted as close to December 2020 as possible. The survey data is illustrated in the exhibits attached.
Key Findings
CEO
The average base salary of CEOs is $320k, with a target bonus of $172k and 3.3% in options (or 18.4% of all options granted). Average salary increased by 1.7% over last year; target bonuses saw a 10.5% increase on average. Compensation appears to be normalizing to pre-Covid levels. In 2021, salaries remained relatively flat compared to 2019 however, bonuses increased by 9% leading to a slight increase in total cash compensation relative to prepandemic compensation.
While typically larger companies (measured by revenue and head count) generally pay higher salaries, head count did not correlate as strongly with compensation in our dataset and higher revenue companies showed only a slight correlation with higher cash compensation. Likely factors contributing to this dynamic are industry focus and geographic location. In terms of ownership, CEOs of larger companies with higher revenue and head count receive fewer options given the maturity of the company and higher value of the options
Senior Management
Similar to the CEO compensation data, this analysis suggests that the total compensation of senior management teams have little correlation with head count and only a slightly higher correlation with revenue. On average, target bonuses and commissions provided 35% more compensation leverage over base salaries. CROs had the most variable compensation over base with 59%, respectively, followed closely by VP Sales (48%), CEO (43%), and Chief Customer Success Officer (38%).
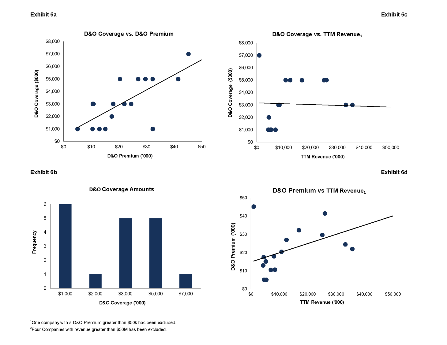
D&O Insurance
D&O plans range from $1M – $7M in coverage, the most common plan being $1M. Not surprisingly, the higher the coverage, the higher the premium paid.
Independent Director
According to the analysis, larger companies tend to offer a slightly smaller percentage of option ownership given the higher value of the options. Out of 14 companies with independent directors, six compensate with options only, three companies compensate with cash only and five compensate with both cash and options. The average option and cash compensation were 0.79% (options on a fully diluted basis) and $27k per director per year, respectively.
Audit Fees
Companies with greater head count pay substantially higher audit fees. TTM revenue has a minimal impact on audit fees. Fees range from $21k to $106k; the average amount paid for audit fees is $48k.
Workplace Flexibility
Given the new office/remote flexibility post Covid, we surveyed participants to see how they are handling workplace flexibility in a post-vaccine environment. 20% of companies surveyed require employees to be in the office five days per week; 50% of companies require employees to be in the office at least three days per week; and 30% of companies surveyed offer complete flexibility allowing employees to work from home or in person.
401K Plans
The average 401K match for employers surveyed is 3% of the employee’s salary, ranging from 2% to 5%.
For further information about this report, please contact Britney Hamberg (bh@rccf.com).




